การส่งออกไทยในสมรภูมิ Trade War: วิเคราะห์ผลกระทบจากภาษี Transshipment ความเสี่ยงใหม่ของผู้ส่งออกไทย

Economic Pulse | Issue 10 | 06 ตุลาคม 2568

ณัฐิกา ทองธวัช

จิดาภา ลู่วิโรจน์

EUDR

"ภาษี Transshipment ของสหรัฐฯ จะส่งผลกระทบต่อการส่งออกสินค้าของไทย โดยเฉพาะเมื่อผู้ส่งออกสินค้าไปสหรัฐฯ ส่วนมากพึ่งพาการนำเข้าจากจีนมากกว่าประเทศต้นทางอื่น"

chess pieces

บทคัดย่อ

 

การส่งออกไทยที่ขยายตัวได้ดีในระยะหลังอาจส่งผลดีต่อเศรษฐกิจอย่างจำกัด เนื่องจากในเวลาเดียวกัน ไทยได้มีการนำเข้าสินค้า โดยเฉพาะจากจีน เพิ่มขึ้นอย่างมีนัยสำคัญ ซึ่งนอกจากจะเพิ่มการแข่งขันและสร้างความกดดันแก่การผลิตในประเทศแล้ว ยังอาจเป็นสัญญาณสะท้อนว่าการนำเข้าสินค้าบางส่วนถูกแปลงเป็นการส่งออกโดยผ่านการผลิตในประเทศเพียงเล็กน้อยเท่านั้น โดยพฤติกรรมที่เข้าข่ายการแอบอ้างถิ่นกำเนิดสินค้าเพื่อประโยชน์ทางภาษีนี้กำลังจะได้รับผลกระทบจากภาษี Transshipment ของสหรัฐฯ และผู้ส่งออกสินค้าไปสหรัฐฯ อาจมีทางเลือกในการปรับตัวที่จำกัด เนื่องจากส่วนใหญ่มีการส่งออกสินค้าไม่กี่ประเภท  มีสหรัฐฯ เป็นประเทศปลายทางหลัก และยังพึ่งพาการนำเข้าจากจีนมากกว่าประเทศต้นทางอื่น

 

งานศึกษาชิ้นนี้ประเมินว่าราว 0.8 - 4.7% ของมูลค่าการส่งออกไทยจะได้รับผลกระทบจากภาษี Transshipment โดยความรุนแรงยังขึ้นอยู่กับเกณฑ์การตั้งภาษีที่ยังคลุมเครือ อย่างไรก็ดี ผู้ส่งออกควรเพิ่มความหลากหลายของประเทศคู่ค้าทั้งในระดับต้นน้ำและปลายน้ำ อีกทั้งภาครัฐควรมีส่วนช่วยในกระบวนการปรับตัวด้วย


บทนำ: การส่งออกและผลต่อเศรษฐกิจไทย
 

แม้ภาคการส่งออกของไทยจะเผชิญกับปัญหาเชิงโครงสร้าง และมีความเสี่ยงต่อการสูญเสียความสามารถในการแข่งขันในหลายหมวดสินค้า (วงษ์สินธุวิเศษ et al, 2024)  แต่ในภาพรวมปี 2024 มูลค่าการส่งออกยังขยายตัวได้ 5.9% เมื่อเทียบกับปีก่อนหน้า และมีสัดส่วนต่อผลิตภัณฑ์มวลรวมภายในประเทศ (Gross Domestic Product: GDP) ใกล้เคียงกับในอดีตที่ 59% อย่างไรก็ตาม การขยายตัวของการส่งออกในระยะหลังมาพร้อมกับการนำเข้าสินค้าที่เพิ่มขึ้นในทิศทางเดียวกัน ขณะที่ภาคการผลิตในประเทศไม่ได้สะท้อนภาพการเติบโตของการส่งออกอย่างชัดเจน โดยดัชนีผลผลิตอุตสาหกรรม (Manufacturing Production Index: MPI) มีแนวโน้มชะลอตัวอย่างต่อเนื่อง (รูปที่ 1) พัฒนาการนี้อาจสะท้อนว่าภาคการผลิตเผชิญแรงกดดันจากสินค้านำเข้าที่ทะลักเข้ามาและเพิ่มการแข่งขันในประเทศ รวมถึงไม่ได้รับผลดีจากการส่งออกมากนัก จากโครงสร้างการผลิตเพื่อการส่งออกที่พึ่งพาการนำเข้าในสัดส่วนที่สูงขึ้นและมีแนวโน้มสร้างมูลค่าเพิ่มในประเทศลดลง ทำให้การเติบโตของภาคการส่งออกอาจส่งผลดีต่อเศรษฐกิจโดยรวมในระดับที่จำกัดกว่าในอดีต ซึ่งส่วนหนึ่งอาจเชื่อมโยงกับแนวโน้มการนำเข้าสินค้าจากจีนที่เข้ามามีบทบาทมากยิ่งขึ้น (พรหมมินทร์ et al, 2024) และข้อกังวลต่อความเสี่ยงจากภาษีนำเข้าสินค้าของสหรัฐฯ โดยเฉพาะในกลุ่มสินค้าที่ไทยมีการส่งออกสินค้าไปสหรัฐฯ โดยไม่ได้สร้างมูลค่าเพิ่มในการผลิตที่อาจถูกเก็บภาษี Transshipment ซึ่งปัจจัยนี้เป็นเสมือนตัวเร่งให้ภาคการส่งออกของไทยต้องตระหนักและเร่งปรับตัว

 

รูปที่ 1 ดัชนีการส่งออก นำเข้า การผลิต

Image 1

ที่มา: กรมศุลกากรและสำนักงานเศรษฐกิจอุตสาหกรรม คำนวณโดย ธปท.

 

บทความฉบับนี้จึงขอสะท้อนที่มา-ที่ไปและพัฒนาการของโครงสร้างการผลิตเพื่อส่งออกของไทย โดยเฉพาะในประเด็นที่เกี่ยวข้องกับการนำเข้าจากจีนที่เพิ่มสูงขึ้น รวมถึงความเสี่ยงที่อาจเกิดขึ้นต่อภาคการส่งออกไทยจากภาษี Transshipment พร้อมกับข้อเสนอแนะในการปรับตัวเพื่อลดทอนผลกระทบที่อาจเกิดขึ้น

สินค้านำเข้าจากจีน: ต้นน้ำสำคัญการส่งออกไทย

 

มูลค่าการนำเข้าที่เพิ่มขึ้นของไทยในระยะหลังเป็นผลของการนำเข้าสินค้าจากจีนเป็นสำคัญ โดยในปี 2024 สัดส่วนการนำเข้าสินค้าจากจีนคิดเป็น 26% ต่อการนำเข้าสินค้าทั้งหมด ซึ่งเพิ่มขึ้นอย่างมีนัยสำคัญ จาก 17% เมื่อ 10 ปีก่อนหน้า ปรากฏการณ์ดังกล่าวเป็นผลจากทั้ง 1) China Flooding และ 2) สงครามการค้าระหว่างสหรัฐฯ และจีนในช่วงรัฐบาล Trump 1.0 (ปี 2017 – 2019)

 

ปัจจัยแรกคือการทะลักของสินค้าจีนหรือที่เรียกว่า China Flooding ซึ่งเกิดจากปัญหา อุปทานส่วนเกิน (Oversupply) ในจีนนับตั้งแต่วิกฤต COVID-19 ที่อุปสงค์ในประเทศชะลอตัว โดยเฉพาะการบริโภคภาคเอกชนซึ่งเป็นเครื่องยนต์สำคัญของเศรษฐกิจจีนชะลอลง ขณะที่ภาครัฐของจีนยังคงใช้นโยบายสนับสนุนภาคการผลิตอย่างต่อเนื่อง จีนจึงจำเป็นต้องเร่งระบายสินค้าออกสู่ตลาดต่างประเทศผ่านการส่งออก โดยเฉพาะสินค้าอุปโภคบริโภคและสินค้าขั้นกลาง ส่งผลให้สัดส่วนการนำเข้าสินค้าอุปโภคบริโภคจากจีนต่อการบริโภคภายในประเทศของไทยเพิ่มขึ้นอย่างมีนัยสำคัญ รวมถึงสัดส่วนสินค้านำเข้าจากจีนต่ออุปสงค์ในประเทศทั้งหมดรายอุตสาหกรรม (Import Penetration Ratio) ก็เพิ่มขึ้นในทุกอุตสาหกรรม โดยเฉพาะในอุตสาหกรรมที่พึ่งพาตลาดในประเทศอย่างเหล็ก เคมีภัณฑ์ และวัสดุก่อสร้าง (พรหมมินทร์ et al, 2024) สะท้อนว่าสินค้านำเข้าราคาถูกจากจีนได้เข้ามามีบทบาทในไทยทั้งในภาคการบริโภคและภาคอุตสาหกรรมอย่างชัดเจน

 

สำหรับปัจจัยที่สองคือ ผลของความตึงเครียดทางการค้าอันเกิดจากการดำเนินนโยบายปกป้องทางการค้าของสหรัฐฯ ในช่วงรัฐบาล Trump 1.0 (ปี 2017 – 2019) ที่ประกาศขึ้นภาษีสินค้าหลายประเภท โดยเฉพาะสินค้าจากจีน มาตรการดังกล่าวส่งผลให้มูลค่าการส่งออกจากจีนไปยังสหรัฐฯ ปรับลดลงอย่างมีนัยสำคัญนับตั้งแต่ช่วงเวลาดังกล่าวเป็นต้นมา จากงานศึกษาของ Alfaro L. และ Chor D. (2023) ได้อธิบายปรากฏการณ์ที่เรียกว่า “Great Reallocation” พบว่า ตั้งแต่ปี 2017 เป็นต้นมา สหรัฐฯ นำเข้าจากจีนโดยตรงลดลง และหันไปนำเข้าจากประเทศอื่นเป็นการทดแทน สะท้อนจากสัดส่วนการนำเข้าจากประเทศแรงงานราคาถูกที่ปรับสูงขึ้นในหมวดสินค้าที่นำเข้าจากจีนลดลง โดยเฉพาะเวียดนาม รวมถึงประเทศอื่นๆ อย่างอินเดีย มาเลเซีย อินโดนีเซีย และไทย ขณะเดียวกันผู้ส่งออกในจีนได้ปรับกลยุทธ์โดยการส่งออกสินค้าไปสหรัฐฯ ผ่านประเทศเหล่านั้นแทน ซึ่งสามารถสังเกตได้จากการนำเข้าสินค้าจากจีนและการส่งออกไปสหรัฐฯ ที่เพิ่มขึ้นในบางประเทศในกลุ่มอาเซียน เช่น เวียดนาม อินโดนีเซีย รวมถึงไทย (รูปที่ 2)

 

ทั้งนี้ การปรับตัวของผู้ส่งออกจีนยังรวมถึงการลงทุนและขยายฐานการผลิตมายังกลุ่มอาเซียนรวมถึงไทย เพื่อส่งออกสินค้าไปสหรัฐฯ ซึ่งทำให้การนำเข้าสินค้าทุนและสินค้าขั้นกลางจากจีนเพิ่มสูงขึ้น พร้อมกับการสร้างห่วงโซ่อุปทาน (Supply Chain) ระหว่างจีนและประเทศในอาเซียน เพื่อเพิ่มมูลค่าของสินค้าก่อนส่งออกไปสหรัฐฯ อย่างไรก็ตาม สินค้าจำนวนไม่น้อยที่มีการนำเข้าจากจีนกลับไม่ได้มีการสร้างมูลค่าเพิ่มในประเทศมากนัก ดังที่เห็นได้จากกรณีการส่งออกแผงโซลาร์จากไทย กัมพูชา มาเลเซีย และเวียดนามไปยังสหรัฐฯ ที่ถูกตรวจสอบและพบว่ามีการใช้วัตถุดิบจากจีนสูงอย่างมีนัยสำคัญและเข้าข่ายการหลบเลี่ยงการส่งออกสินค้าจากจีนโดยตรงไปยังสหรัฐฯ (International Trade Administration, 2023) ปรากฏการณ์นี้สะท้อนว่า แม้การส่งออกของไทยขยายตัวได้ดี โดยเฉพาะการส่งออกไปสหรัฐฯ แต่กลับส่งผลดีต่อภาคการผลิตของไทยจำกัด

 

รูปที่ 2 มูลค่าการส่งออกไปสหรัฐฯ และการนำเข้าจากจีน ของประเทศในอาเซียน

picture 2 a graph of Thai imports and exports to different regions

ที่มา: Trademap คำนวณโดย ธปท.

ท่าทีและการตอบโต้ของสหรัฐฯ ต่อการส่งออกสินค้าผ่านประเทศที่สามเพื่อหลีกเลี่ยงภาษี

 

เดิมทีสหรัฐฯ พยายามอุดช่องโหว่ทางการค้าในกรณีการส่งออกสินค้าผ่านประเทศที่สาม เพื่อหลีกเลี่ยงการเสียภาษีนำเข้าที่สูง โดยใช้มาตรการเฝ้าระวังสินค้าที่เข้าข่ายการแอบอ้างถิ่นกำเนิดสินค้า  กล่าวคือ สินค้าที่ส่งออกจากประเทศต้นทางอาจไม่ได้ถูกคิดอัตราภาษีนำเข้าตามที่สหรัฐฯ กำหนดไว้สำหรับประเทศนั้น แต่ถูกคิดอัตราภาษีตามประเทศถิ่นกำเนิดสินค้า (Country of Origin) หรือประเทศที่เป็นแหล่งต้นทุนหลักในการผลิตสินค้าทั้งในแง่วัตถุดิบและแรงงาน สำหรับประเทศไทย สินค้าที่อยู่ในบัญชีรายการสินค้าเฝ้าระวังในการส่งออกไปสหรัฐฯ มีจำนวนทั้งสิ้น 49 รายการ[1]

 

ดังนั้นในยุครัฐบาล Trump 2.0 นอกจากสหรัฐฯ จะกำหนดภาษีศุลกากรแบบตอบโต้ (Reciprocal Tariffs) กับนานาประเทศ ในอัตราที่แตกต่างกันตามขนาดการขาดดุลการค้าและระดับความสัมพันธ์[2]แล้ว ยังได้ประกาศจัดเก็บภาษีเพิ่มเติมต่อสินค้าที่เสี่ยงเข้าข่ายการสวมสิทธิ์ หรือ Transshipment ด้วย โดยมีอัตราสูงถึง 40% ซึ่งสูงกว่าเท่าตัวของอัตราภาษีศุลกากรแบบตอบโต้ที่สหรัฐฯ ประกาศใช้กับประเทศไทยที่ 19%  (The White House, 2025) ทั้งนี้ การประกาศจัดเก็บภาษี Transshipment ดังกล่าว ส่วนหนึ่งอาจมีสาเหตุมาจากความแตกต่างของอัตราภาษีที่เพิ่มขึ้นในช่วง Trump 2.0 โดยเฉพาะต่อสินค้าจากจีนที่ถูกตั้งภาษีเพิ่มอีก 30%[3] ซึ่งอาจก่อให้เกิดแรงจูงใจในการเคลื่อนย้ายห่วงโซ่อุปทานของการผลิตออกจากประเทศจีนอีกครั้ง ดังนั้นการส่งออกสินค้าผ่านประเทศกลุ่มอาเซียนรวมถึงไทย เพื่อเข้าสู่ตลาดสหรัฐฯ จึงเป็นช่องทางสำคัญที่สหรัฐฯ จำเป็นต้องเฝ้าระวังและดำเนินมาตรการป้องกันอย่างเข้มงวดมากขึ้นหลังได้บทเรียนจากยุครัฐบาล Trump 1.0 

     

ปัจจุบันนิยามของ Transshipment ยังคงคลุมเครือ อย่างไรก็ตาม เมื่อพิจารณาจากคำพูดของฮาวเวิร์ด ลุทนิค รัฐมนตรีว่าการกระทรวงพาณิชย์สหรัฐฯ ที่กล่าวว่า “…transshipping, meaning if another country sells their content through products exported by Vietnam to us…” (Lutnick, 2025) จึงสามารถตีความได้ว่าสินค้าที่เข้าข่ายเป็น Transshipment อาจครอบคลุม 2 พฤติกรรม ได้แก่

 

  1. การถ่ายลำ ซึ่งหมายถึงการถ่ายของจากยานพาหนะหนึ่งที่ขนส่งของเข้ามาในประเทศไปยังอีกยานพาหนะหนึ่งที่ขนส่งของออกไปนอกราชอาณาจักร (กรมศุลกากร, 2018) กล่าวคือ เป็นการนำเข้าและส่งออกสินค้าชนิดเดียวกันโดยไม่มีการนำสินค้ามาใช้ประโยชน์ในประเทศ 
  2. Rerouting ซึ่งเป็นการเปลี่ยนเส้นทางการขนส่งสินค้าเพื่อหลบเลี่ยงภาษี เช่น เมื่อประเทศปลายทางตั้งภาษีนำเข้าต่อประเทศต้นทาง แต่ไม่ได้ตั้งต่อประเทศที่สาม การส่งออกที่เพิ่มขึ้นจากประเทศต้นทางไปประเทศที่สาม และจากประเทศที่สามไปประเทศปลายทางในเวลาเดียวกันเป็นสัญญาณของ Rerouting (DeBarros and Hayashi, 2023; Hayakawa and Sudsawasd, 2024) โดยสินค้าที่ถูกนำเข้ามาในประเทศที่สามอาจถูกเปลี่ยนบรรจุภัณฑ์และติดป้ายสินค้าว่าผลิตในประเทศที่สาม หรืออาจมีการผลิตเล็กน้อยก่อนการส่งออก

     

แม้ว่าประกาศของทำเนียบขาวว่าด้วยภาษี Transshipment จะยังไม่ได้ระบุอย่างเป็นทางการว่าเพ่งเล็งสินค้าที่ถูกส่งออกจากประเทศต้นทางใดเป็นพิเศษ[4] แต่ทั้งจากท่าทีของสหรัฐฯ ตั้งแต่ช่วง Trump 1.0 และการให้สัมภาษณ์ของรัฐมนตรีว่าการกระทรวงพาณิชย์สหรัฐฯ (Fox Business, 2025)[5] ทำให้สามารถตีความได้ว่าสินค้าที่ส่งออกไปสหรัฐฯ ในส่วนที่มีความเกี่ยวข้องกับการนำเข้าจากจีนอาจถูกใช้เป็นเงื่อนไขเพิ่มเติมในการพิจารณาว่าเป็นสินค้าที่เข้าข่าย Transshipment ได้

 

กล่าวคือภาษี Transshipment อาจส่งผลกระทบต่อผู้ส่งออกสินค้าไปสหรัฐฯ ในหลายประเทศรวมถึงไทย ที่มีการนำเข้าสินค้าจากจีนเพิ่มขึ้นอย่างต่อเนื่อง โดยเฉพาะในกลุ่มสินค้าทุนและวัตถุดิบขั้นกลาง ซึ่งการนำเข้าเร่งขึ้นอย่างมีนัยสำคัญเมื่อเทียบกับการนำเข้าสินค้าทุนและวัตถุดิบขั้นกลางจากจีนโดยรวม (รูปที่ 3)

 

รูปที่ 3 มูลค่าการนำเข้าและส่งออกสินค้าของไทย

picture3

ที่มา: กรมศุลกากร คำนวณโดย ธปท.

ส่วนถัดไปจะทำการพิจารณาลักษณะสำคัญของผู้ส่งออกสินค้าจากไทยไปสหรัฐฯ เพื่อชี้ให้เห็นถึงความเปราะบางของโครงสร้างการนำเข้าและส่งออกของบริษัทในกลุ่มศึกษา พร้อมทั้งประเมินผลกระทบที่อาจเกิดขึ้นจากภาษี Transshipment

ลักษณะบริษัทผู้ส่งออกสินค้าจากไทยไปสหรัฐฯ
 

บริษัทผู้ส่งออกสินค้าจากไทยไปสหรัฐฯ ส่วนมากมีลักษณะคล้ายคลึงกันในหลายมิติ ได้แก่ ส่งออกสินค้าไม่กี่ประเภท[6] มีสหรัฐฯ เป็นประเทศปลายทางหลัก (ตารางที่ 1) และพึ่งพาการนำเข้าจากจีนมากกว่าประเทศต้นทางอื่น (รูปที่ 4) การกระจุกตัวในสามมิตินี้สะท้อนว่าบริษัทผู้ส่งออกกลุ่มดังกล่าวอาจปรับห่วงโซ่อุปทาน (Supply Chain) ทั้งในระดับต้นน้ำและปลายน้ำ เพื่อรองรับผลกระทบได้ยากหากสหรัฐฯ เก็บภาษี Transshipment โดยใช้เกณฑ์สัดส่วนการใช้สินค้านำเข้าจากจีนประกอบด้วย

ตารางที่ 1 ลักษณะของผู้ส่งออกสินค้าไปสหรัฐฯ รายสินค้า

 

 

สัดส่วนการส่งออกไปสหรัฐฯ ต่อมูลค่าการส่งออกรวม[7]

จำนวนบริษัท

มูลค่าการส่งออกไปสหรัฐฯ (ล้านดอลลาร์ สรอ.)

สัดส่วนการพึ่งพาสหรัฐฯ (เฉลี่ย)

เกษตร

0.5%

715

2,180

47.1%

เกษตรแปรรูป

1.6%

1,068

7,011

40.0%

สิ่งทอและเครื่องนุ่งห่ม

0.4%

462

1,777

39.7%

ยานยนต์และชิ้นส่วน

2.0%

378

8,770

34.7%

เคมีภัณฑ์และปิโตรเคมี

0.6%

541

2,652

33.9%

ชิ้นส่วนคอมพิวเตอร์ (HDD)

2.1%

39

7,412

48.2%

อิเล็กทรอนิกส์ไม่รวม HDD

3.0%

159

16,890

38.1%

เครื่องใช้ไฟฟ้า

2.6%

412

12,561

43.8%

เครื่องจักรและอุปกรณ์

2.2%

730

8,788

37.7%

เหล็กและโลหะ

0.8%

580

3,356

46.6%

อื่นๆ

0.5%

3,029

10,644

45.4%

ทั้งหมด

18.3%

7,926

82,042

43.5%

หมายเหตุ: ระยะเวลาในการประเมินคือ ม.ค. 67-พ.ค. 68

ที่มา: กรมศุลกากร คำนวณโดย ธปท.

 

รูปที่ 4 สัดส่วนการนำเข้าสินค้าทุน สินค้าวัตถุดิบ และสินค้าขั้นกลาง รายประเทศโดยผู้ส่งออกไปสหรัฐฯ ในกลุ่มสินค้าต่างๆ

Picture4

หมายเหตุ: ระยะเวลาในการประเมินคือ ม.ค. 67-พ.ค. 68 

ที่มา: กรมศุลกากร คำนวณโดย ธปท.

การประเมินผลกระทบจากภาษี Transshipment
 

จากที่ได้กล่าวไปข้างต้น นิยามของคำว่า Transshipment ยังคงมีความคลุมเครือ การประเมินระดับความเสี่ยงของภาษี Transshipment ต่อผู้ส่งออกสินค้าจากไทยไปสหรัฐฯ ในงานศึกษาชิ้นนี้จึงขอแบ่งเป็น 2 วิธี คือ 1) ประเมินจากบริษัทส่งออกที่นำเข้าสินค้าจากจีนและส่งออกสินค้าชนิดเดียวกันไปสหรัฐฯ และ 2) ประเมินจากบริษัทที่นำเข้าสินค้าจากจีนและส่งออกไปสหรัฐฯ โดยไม่จำเป็นต้องเป็นสินค้าชนิดเดียวกัน แต่มีการพึ่งพาวัตถุดิบจากจีนสูง (มีสัดส่วนการนำเข้าจากจีนต่อการส่งออกไปสหรัฐฯ สูง) โดยมีรายละเอียดของแต่ละวิธีดังนี้

 

1) ประเมินจากบริษัทส่งออกที่นำเข้าสินค้าจากจีนและส่งออกสินค้าชนิดเดียวกันไปสหรัฐฯ

 

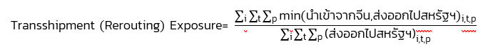
งานศึกษาของ Iyoha et al. (2025) ระบุว่า การประเมิน rerouting ของผู้ส่งออกไปสหรัฐฯ จะสะท้อนจากมูลค่าการนำเข้าสินค้าจากจีนที่มีพิกัดศุลกากร (Harmonized code) เดียวกับที่ส่งออกไปสหรัฐฯ ในช่วงระยะเวลาเดียวกัน โดยคำนวณได้จากทั้งข้อมูลระดับประเทศ (country level) และระดับบริษัท (firm level) ดังนั้นความเสี่ยงของ Transshipment จึงสะท้อนจากสัดส่วนขั้นต่ำระหว่างมูลค่าการนำเข้าสินค้าจากจีนและมูลค่าการส่งออกสินค้าเดียวกันไปสหรัฐฯ ต่อมูลค่าการส่งออกสินค้านั้นไปสหรัฐฯ ดังแสดงในสมการที่ 1  

 

สมการที่ 1  

formula 1

หมายเหตุ: i คือ ผู้ส่งออกสินค้าไปสหรัฐฯ และนำเข้าสินค้าจากจีน t คือ ช่วงเวลาที่นำเข้าและส่งออก p คือ สินค้าตามพิกัดศุลกากร[8]

 

ทั้งนี้ จากการประเมินความเสี่ยง Transshipment ในระดับ country-level พบว่า สินค้าที่ไทยส่งออกไปสหรัฐฯ ที่เสี่ยงเข้าข่าย Transshipment คิดเป็น 23.5% ในปี 2024 ใกล้เคียงกับประเทศคู่แข่งสำคัญในอาเซียน ได้แก่ เวียดนามและอินโดนีเซีย ซึ่งมีสัดส่วนที่ 21.3% และ 21.8% ตามลำดับ (ตารางที่ 2) โดยสินค้าที่มีความเสี่ยงเข้าข่าย Transshipment สูงของทั้ง 3 ประเทศจะเป็นสินค้าในกลุ่มใกล้เคียงกัน ได้แก่ สินค้าอิเล็กทรอนิกส์และชิ้นส่วนคอมพิวเตอร์ เครื่องจักรและอุปกรณ์ และเครื่องใช้ไฟฟ้า อย่างไรก็ดี การประเมินระดับ country-level อาจมีข้อจำกัด เนื่องจากอาจนับรวมการนำเข้าสินค้าจากจีนเพื่อจำหน่ายในประเทศ รวมถึงกรณีที่เป็นการนำเข้าและส่งออกสินค้าพิกัดเดียวกันโดยบริษัทต่างกัน ซึ่งไม่มีความเกี่ยวข้องกันและไม่มีเจตนาหลีกเลี่ยงภาษี แต่เกิดขึ้นในปีเดียวกัน

ตารางที่ 2 สัดส่วนสินค้าส่งออกไปสหรัฐฯ ที่เสี่ยงเข้าข่าย Transshipment ของไทย เวียดนาม และอินโดนีเซีย

table 2

หมายเหตุ: ระยะเวลาในการประเมินสำหรับไทยและอินโดนีเซียคือ ปี 2024  ส่วนเวียดนามคือ ปี 2023

() คือสัดส่วนสินค้าที่เสี่ยงเป็น Transshipment ต่อการส่งออกไปโลก

 

ที่มา: กรมศุลกากรและ Trademap คำนวณโดย ธปท.

 

ขณะที่การประเมินความเสี่ยง Transshipment ในระดับ firm-level ช่วยลดข้อจำกัดของการประเมินในระดับ country-level ที่อาจรวมสินค้านำเข้าซึ่งใช้บริโภคในประเทศ และยังสามารถวิเคราะห์จากมูลค่าการส่งออกสินค้าไปสหรัฐฯ โดยบริษัทที่มีการนำเข้าสินค้าชนิดเดียวกันจากจีนในไตรมาสเดียวกันด้วย ซึ่งพบว่าการส่งออกของไทยที่เข้าข่ายเป็น Transshipment คิดเป็น 4.3% ของมูลค่าการส่งออกไปสหรัฐฯ หรือ 0.8% ของมูลค่าการส่งออกรวม โดยส่วนใหญ่เป็นสินค้าในหมวดเครื่องจักรและอุปกรณ์ อิเล็กทรอนิกส์ ยานยนต์และชิ้นส่วน และเครื่องใช้ไฟฟ้า รวมถึงเหล็กและโลหะ (รูปที่ 5) ทั้งนี้ สินค้าในรายการสินค้าเฝ้าระวังการแอบอ้างถิ่นกำเนิดสินค้าในการส่งออกไปสหรัฐฯ 49 รายการ ที่เข้าข่ายเป็น Transshipment คิดเป็น 1.2% ของมูลค่าการส่งออกไปสหรัฐฯ หรือ 0.2% ของมูลค่าการส่งออกรวม โดยส่วนใหญ่เป็นสินค้าในหมวดชิ้นส่วนยานยนต์ (คิดเป็น 0.5% ของการส่งออกไปสหรัฐฯ) และชิ้นส่วนคอมพิวเตอร์ (0.4% ของการส่งออกไปสหรัฐฯ)
 

หากพิจารณาสัดส่วนสินค้าที่เข้าข่าย Transshipment ต่อมูลค่าการส่งออกไปสหรัฐฯ ในแต่ละหมวดสินค้า พบว่าสินค้าในหมวดเครื่องจักร และเหล็กและโลหะ มีสัดส่วนสูงกว่าสินค้าหมวดอื่นๆ (ราว 8% ของการส่งออกสินค้าดังกล่าวไปสหรัฐฯ) ขณะที่หมวดอื่นๆ เช่น เครื่องใช้ไฟฟ้าและอิเล็กทรอนิกส์ กลับมีสัดส่วนเพียง 3.9% และ 3.3% ของการส่งออกสินค้าหมวดดังกล่าวไปสหรัฐฯ ตามลำดับ (รูปที่ 6) อย่างไรก็ตาม ความเสี่ยงของ Transshipment อาจมีรูปแบบที่ซับซ้อนกว่าการนำเข้าและส่งออกชนิดเดียวกัน โดยผู้ส่งออกอาจหลบเลี่ยงผ่านการนำเข้าและส่งออกสินค้าต่างชนิดกัน ดังที่ปรากฏในกรณีของชิ้นส่วนแผงโซลาร์ ซึ่งบริษัทที่ถูกสหรัฐฯ ไต่สวนและเก็บภาษีมีลักษณะการนำเข้าและส่งออกสินค้าคนละชนิด

 

รูปที่ 5 สัดส่วนมูลค่า Transshipment ต่อการส่งออกทั้งหมดไปสหรัฐฯ

picture 5

รูปที่ 6 สัดส่วนการส่งออกสินค้าที่เข้าข่าย Transshipment ต่อการส่งออกสินค้ารายหมวดไปสหรัฐฯ

picture 6

หมายเหตุ (รูปที่ 5 และ 6): ระยะเวลาในการประเมินคือ ม.ค. 67-พ.ค. 68 

ที่มา (รูปที่ 5 และ 6): กรมศุลกากร คำนวณโดย ธปท.

2) ประเมินจากบริษัทที่นำเข้าสินค้าจากจีนและส่งออกไปสหรัฐฯ โดยไม่จำเป็นต้องเป็นสินค้าชนิดเดียวกัน แต่พึ่งพาวัตถุดิบจากจีนสูง
 

จากข้อความของฮาวเวิร์ด ลุทนิค รัฐมนตรีว่าการกระทรวงพาณิชย์สหรัฐฯ (Lutnick, 2025) รวมถึงเกณฑ์ที่ทางทีมเจรจาของไทย (กรุงเทพธุรกิจ, 2025; ประชาชาติธุรกิจ, 2025) ใช้ในการเสนอต่อสหรัฐฯ อาจสามารถประเมินสินค้าที่เข้าข่าย Transshipment ได้จาก 2 มิติ ได้แก่ 1) สินค้าที่มีการใช้ Regional Value Content (RVC[9]) ต่ำ และ 2) สินค้าที่มีการใช้วัตถุดิบจากประเทศใดประเทศหนึ่งสูง ซึ่งประเมินเบื้องต้นจากมูลค่าการนำเข้าจากจีน โดยอ้างอิงจากข้อมูลที่นำเสนอไปข้างต้นว่าบริษัทส่งออกไปสหรัฐฯ ส่วนใหญ่พึ่งพาการนำเข้าจากจีนเป็นหลัก รวมถึงสหรัฐฯ เองอาจเพ่งเล็งสินค้าสวมสิทธิ์จากจีนเป็นพิเศษ ตามที่ลุทนิคให้สัมภาษณ์ไว้ว่า “If some other countries, let’s say China, want to send things to Vietnam and have Vietnam sell them to America, that comes with 40%.”

 

เกณฑ์ Regional Value Content (RVC) เป็นการพิจารณาการแปรสภาพของสินค้าโดยเปรียบเทียบสัดส่วนของมูลค่าภายในประเทศหรือภายในภูมิภาคที่เกิดขึ้นจากการผลิตสินค้าส่งออกเปรียบเทียบกับมูลค่าของวัตถุดิบที่ไม่ได้ถิ่นกำเนิด (Value of Non-originating Material หรือ VNM) ที่นำมาเพื่อใช้ผลิตสินค้านั้น (กรมศุลกากร, 2022) ซึ่งมีวิธีการคำนวณหาสัดส่วน RVC ได้หลายวิธี[10]ต่างกันไปตามข้อตกลงของแต่ละสัญญาการค้า ยกตัวอย่างเช่นข้อตกลงการค้าระหว่าง ASEAN ได้กำหนดให้มีสัดส่วน RVC ขั้นต่ำที่ 40% และระบุให้ใช้สูตรการคำนวณ 2 วิธี ได้แก่

formula 2

อย่างไรก็ดี ปัจจุบันข้อมูลสำหรับการประเมินด้วยเกณฑ์ RVC มีจำกัด โดยงานศึกษาของหนูขวัญ et al. (2025) พบว่าสินค้าที่อาจเข้าข่าย Transshipment เนื่องจากมีสัดส่วนวัตถุดิบภายในประเทศ (domestic content) ที่น้อยกว่าภาคอุตสาหกรรมอื่น ได้แก่ สินค้าเหล็กและโลหะ อิเล็กทรอนิกส์ เครื่องใช้ไฟฟ้า เครื่องจักรและอุปกรณ์ และยานยนต์และชิ้นส่วน อีกทั้งด้วยแนวโน้มการนำเข้าสินค้าจากจีนที่เพิ่มสูงขึ้นต่อเนื่องอาจเป็นความเสี่ยงสำคัญต่อผู้ส่งออกสินค้าไปสหรัฐฯ จากผลกระทบของภาษี Transshipment งานศึกษานี้จึงขอนำเสนอผลการประเมินเบื้องต้นด้วยเกณฑ์การพึ่งพาวัตถุดิบจากประเทศใดประเทศหนึ่งในสัดส่วนที่สูง โดยบริษัทที่มีพฤติกรรมเข้าข่าย Transshipment คือ บริษัทที่มีมูลค่าการส่งออกไปสหรัฐฯ มากกว่าการนำเข้าจากจีน และมีสัดส่วนมูลค่าการนำเข้าจีนต่อการส่งออกไปสหรัฐฯ สูงกว่า 50% ขึ้นไป ภายใต้สมมติฐานว่าบริษัทเหล่านี้นำเข้าวัตถุดิบจากจีนเพื่อใช้ในการผลิตก่อนส่งออกไปยังสหรัฐฯ โดยไม่เฉพาะเจาะจงว่าเป็นการนำเข้าและส่งออกสินค้าเดียวกัน ซึ่งพบว่า มีบริษัทที่เข้าข่ายเป็น Transshipment ทั้งหมด 547 บริษัท โดยมีมูลค่าการส่งออกคิดเป็นอย่างน้อย 26.7% ของมูลค่าการส่งออกไปสหรัฐฯ ทั้งหมด หรือ 4.7% ของมูลค่าการส่งออกรวม (รูปที่ 7) โดยสินค้ากลุ่มเสี่ยงที่น่าเป็นกังวล ได้แก่ เครื่องใช้ไฟฟ้า เครื่องจักรและอุปกรณ์ และเหล็กและโลหะ ซึ่งมีสัดส่วนการส่งออกสินค้าที่เข้าข่าย Transshipment ต่อการส่งออกสินค้าหมวดดังกล่าวไปสหรัฐฯ สูงถึง 63% 56% และ 41% ตามลำดับ (รูปที่ 8)

รูปที่ 7 สัดส่วนการส่งออกส่งไปสหรัฐฯ ตามการพึ่งพาวัตถุดิบจากจีน*

picture 7

รูปที่ 8 สินค้าส่งออกที่เข้าข่ายเป็น Transshipment** รายหมวดสินค้า

picture 8

หมายเหตุ: *ประเมินจากบริษัทที่ส่งออกไปสหรัฐฯ มากกว่านำเข้าจากจีนในช่วง ม.ค. 67-พ.ค. 68 และ **ประเมินจากบริษัทที่มีสัดส่วนมูลค่านำเข้าจากจีนต่อการส่งออกไปสหรัฐฯ มากกว่า 50% 

 

ที่มา (รูปที่ 7 และ 8): กรมศุลกากร คำนวณโดย ธปท.

ทั้งนี้ เนื่องจากรายละเอียดของนิยามและกฎเกณฑ์เกี่ยวกับการจัดเก็บภาษี Transshipment นั้นยังคงมีความไม่ชัดเจน  ดังนั้น ความเสี่ยงของมูลค่าสินค้าส่งออกที่อาจเข้าข่ายเป็น Transshipment ยังคงเปลี่ยนแปลงได้ โดยการประเมินเบื้องต้นพบว่า สัดส่วนสินค้าที่เข้าข่ายต่อการส่งออกไปสหรัฐฯ จะเพิ่มขึ้นเฉลี่ย 8% หากเกณฑ์สัดส่วนการนำเข้าจากจีนต่อการส่งออกไปสหรัฐฯ มีความเข้มงวดขึ้นทุก 10% และความเสี่ยงอาจเพิ่มขึ้นอย่างมีนัยหากสหรัฐฯ กำหนดให้สัดส่วนการนำเข้าจากจีนต้องไม่เกิน 30% ตามที่ฮาวเวิร์ด ลุทนิค (Fox Business, 2025) เคยยกตัวอย่างไว้ในบทสัมภาษณ์ว่า “If your country pay your tariff but actually have a significant content, like 30%, from any other country, then it should be taxed at other country’s tariff.” ซึ่งจะทำให้การส่งออกไปสหรัฐฯ ราวครึ่งหนึ่งเข้าข่ายเป็น Transshipment หรือคิดเป็น 9% ต่อการส่งออกทั้งหมด

ข้อสรุปและข้อเสนอแนะ
 

การส่งออกของไทยที่ขยายตัวดีในช่วง 1-2 ปีที่ผ่านมา โดยเฉพาะตลาดสหรัฐฯ ส่งผลดีต่อเศรษฐกิจไทยโดยรวมลดน้อยลง ส่วนหนึ่งจากแนวโน้มการนำเข้าสินค้าที่เพิ่มสูงขึ้น ซึ่งบางส่วนอาจเป็นสินค้าในกลุ่ม Transshipment ดังนั้น การเก็บภาษีสินค้าที่เป็น Transshipment โดยสหรัฐฯ จะกระทบต่อภาคการส่งออกของไทยและภาคธุรกิจที่เกี่ยวข้อง จากผลการศึกษาด้วยการประเมินในระดับบริษัท พบว่า สัดส่วนสินค้าที่เข้าข่ายเป็น Transshipment อยู่ระหว่าง 4.3 – 26.7% ต่อมูลค่าการส่งออกไปสหรัฐฯ ทั้งหมด หรือคิดเป็น 0.8 - 4.7% ต่อการส่งออกของไทยทั้งหมด ซึ่งสัดส่วนจะแตกต่างกันไปตามการนิยามพฤติกรรม Transshipment และ หากเกณฑ์การใช้วัตถุดิบจากจีนเพิ่มขึ้นทุก 10% สัดส่วนสินค้าที่เข้าข่ายต่อการส่งออกไปสหรัฐฯ จะเพิ่มขึ้นเฉลี่ย 8% นอกจากนี้ ในการประเมินระดับ country-level พบว่า ไทยมีสัดส่วนมูลค่าการส่งออกที่เข้าข่ายเป็น Transshipment ต่อการส่งออกไปสหรัฐฯ ในระดับสูงใกล้เคียงกับคู่แข่งในอาเซียน เช่น เวียดนามและอินโดนีเซีย โดยกลุ่มสินค้าที่เสี่ยงที่สุดได้แก่ เครื่องใช้ไฟฟ้า เครื่องจักรและอุปกรณ์ และเหล็กและโลหะ

 

ดังนั้นผู้ส่งออกสินค้าไปสหรัฐฯ ควรเตรียมพร้อมรับมือกับผลกระทบและวางแผนปรับตัว เนื่องจากส่วนใหญ่มักส่งออกสินค้าไม่กี่ชนิด พึ่งพาการนำเข้าจากจีนสูง และมีการส่งออกที่กระจุกตัวในตลาดสหรัฐฯ อย่างมีนัยสำคัญ ซึ่งการพึ่งพาการนำเข้าจากจีนที่มากเกินไปอาจส่งผลกระทบระยะยาว ดังนั้นผู้ส่งออกควรกระจายแหล่งวัตถุดิบให้หลากหลายมากขึ้น หากผู้ส่งออกต้องการรักษาส่วนแบ่งในตลาดสหรัฐฯ และการเติบโตอย่างมีเสถียรภาพ 


อย่างไรก็ดี การเปลี่ยนแหล่งสินค้าวัตถุดิบหรือประเทศต้นทางในห่วงโซ่อุปทาน ทั้งการค้นหา ศึกษาการผลิต เจรจาต่อรอง และทำสัญญาจำเป็นต้องใช้เวลาและไม่สามารถดำเนินการได้ในทันที (Grossman et al, 2024) แม้กระทั่ง Apple Inc. เองยังต้องเผชิญกับต้นทุนการผลิตที่สูงขึ้นในการปรับห่วงโซ่การผลิต โดยประเมินว่าการผลิตในอินเดียมีต้นทุนสูงกว่าจีนประมาณ 5 – 8% (Reuters, 2025) และหนึ่งในซัพพลายเออร์ของ Apple ยังเปิดเผยว่าการปรับเปลี่ยนและกระจายห่วงโซ่การผลิตออกจากจีนนั้นจำเป็นต้องใช้เวลากว่า 2 – 3 ปี เพื่อที่บริษัทจะสามารถทำการศึกษาประเทศต้นทางอื่นๆ และวางแผนการผลิตใหม่ (Nikkei Asia, 2019) จึงมีความเป็นไปได้ที่นักลงทุนหรือบริษัทข้ามชาติ (Multinational Corporation: MNC) จะโยกการผลิตไปยังประเทศอื่นที่ได้รับผลกระทบจากภาษี Transshipment ต่ำกว่าไทยทดแทน


ดังนั้น ในระยะสั้น ผู้ส่งออกสามารถบรรเทาผลกระทบได้ด้วยการเพิ่มการนำเข้าและส่งออกกับประเทศคู่ค้าอื่นที่ตนมีความสัมพันธ์อยู่แล้วให้หลากหลายมากขึ้น ตลอดจนพัฒนาความสัมพันธ์ทางการค้ากับประเทศที่ไทยมีความร่วมมือทางการค้าด้วย เช่น อาเซียน ออสเตรเลีย และอินเดีย (กรมการค้าต่างประเทศ, 2024) ตัวอย่างเช่น แม้ว่าความสามารถในการผลิตและส่งออกเซมิคอนดักเตอร์ของมาเลเซียจะยังอยู่ระหว่างการพัฒนา แต่ในระยะหลังมีความก้าวหน้าอย่างต่อเนื่อง ซึ่งอาจทำให้ผู้ส่งออกสินค้าอิเล็กทรอนิกส์ในไทยสำรวจความเป็นไปได้อื่นนอกเหนือการนำเข้าชิ้นส่วนอิเล็กทรอนิกส์จากจีนและไต้หวัน (Medina, 2024) หรือการที่ผู้ส่งออกแบตเตอรี่สำหรับยานยนต์ไฟฟ้า (Electric Vehicle: EV) ในอินโดนีเซียพิจารณาการนำเข้าลิเทียมจากออสเตรเลียมากขึ้น ก็อาจเพิ่มความเป็นไปได้ในการขยายแหล่งนำเข้าชิ้นส่วนสำหรับผลิตยานยนต์ไฟฟ้ามายังไทยเช่นกัน (Simanjuntak, 2025) อีกทั้ง ในระยะยาว ภาครัฐยังสามารถช่วยเพิ่มโอกาสในการส่งออกได้ด้วยการขยายขอบเขตความร่วมมือทางการค้า เช่น ผ่านการเข้าร่วมเขตการค้าเสรี (Free Trade Area: FTA) เป็นต้น


โดยภาครัฐยังสามารถมีบทบาทด้านการสนับสนุนการลงทุนจากต่างประเทศ เนื่องจากการตัดสินใจเปลี่ยนแปลงหรือขยายประเทศคู่ค้าทั้งในระดับต้นน้ำและปลายน้ำของผู้ส่งออกสินค้า บางส่วนไม่ได้อยู่ในการควบคุมของผู้ผลิตและส่งออกในไทยเพียงฝ่ายเดียว แต่ยังขึ้นกับการพิจารณาของบริษัทข้ามชาติในห่วงโซ่อุปทานด้วย ดังนั้นภาครัฐจึงควรเร่งศึกษากฎเกณฑ์และการสร้างแรงจูงใจที่เหมาะสม เพื่อดึงดูดต่อการลงทุนจากบริษัทข้ามชาติที่หลากหลายทั้งในแง่ประเภทสินค้าและประเทศต้นทาง ซึ่งจะช่วยกระจายความเสี่ยงการพึ่งพาวัตถุดิบจากประเทศใดประเทศหนึ่งมากเกินไป โดยนอกจากมูลค่าการลงทุนแล้ว การกำหนดสัดส่วนการใช้วัตถุดิบในประเทศที่เหมาะสม การถ่ายทอดความรู้เชิงปฏิบัติการ (Know-how) ให้ทั้งผู้ผลิตในประเทศและแรงงาน ก็เป็นปัจจัยสำคัญที่ควรพิจารณาประกอบในการให้สิทธิประโยชน์ด้านการลงทุน


สุดท้ายนี้ การยกระดับห่วงโซ่อุปทานในประเทศให้ครอบคลุมและหลากหลายทั้งในระดับต้นน้ำและปลายน้ำ โดยเฉพาะการเพิ่มความสามารถในการแข่งขันของผู้มีส่วนร่วมในอุปทานการผลิตของไทย ถือเป็นสิ่งที่สำคัญและจำเป็นต่อการเสริมความแข็งแกร่งให้เศรษฐกิจไทยทั้งในมิติการค้าระหว่างประเทศและภาคการผลิตในระยะยาว

End Notes

 

[1] รายการสินค้าเฝ้าระวังในการส่งออกไปสหรัฐฯ ตามประกาศกรมการค้าต่างประเทศ กระทรวงพาณิชย์ (ฉบับที่ 2) พ.ศ. 2566 ครอบคลุมสินค้า 49 รายการ (เริ่มมีผลบังคับใช้ตั้งแต่วันที่ 1 มกราคม 2567)

[2] อัตราภาษีศุลกากรแบบตอบโต้แบ่งได้เป็น 3 กลุ่มหลัก ได้แก่ 1) กลุ่ม 10 – 15% เป็นกลุ่มประเทศที่เกินดุลการค้ากับสหรัฐฯ ต่ำ บรรลุข้อตกลงทางการค้ากับสหรัฐฯ หรือเป็นพันธมิตรใกล้ชิด เช่น สหราชอาณาจักร สหภาพยุโรป ญี่ปุ่น และเกาหลีใต้ 2) กลุ่ม
19 – 20% เป็นกลุ่มประเทศที่เกินดุลการค้ากับสหรัฐฯ สูง เป็นช่องทางในการสวมสิทธิ์สินค้าจากจีน และได้บรรลุข้อตกลงกับสหรัฐฯ โดยไทยและประเทศอื่นๆ ในภูมิภาคอาเซียนส่วนใหญ่อยู่ในกลุ่มนี้ และ 3) กลุ่ม 25 – 50% ได้แก่ กลุ่มประเทศที่ยังไม่สามารถบรรลุข้อตกลงกับสหรัฐฯ ได้ หรือมีท่าทีเป็นปฏิปักษ์ต่อสหรัฐฯ อย่างกลุ่มประเทศสมาชิก BRICS เช่น จีน อินเดีย และบราซิล

[3] อัตราภาษีรวม Reciprocal tariff 10% และภาษีที่เกี่ยวข้องกับสาร Fentanyl 20% เป็นอัตราภาษี ณ วันที่ 14 พ.ค. 68 มีผลบังคับใช้จนถึงวันที่ 10 พ.ย. 68 โดยหากไม่สามารถบรรลุข้อตกลงได้ จีนจะถูกจัดเก็บภาษี Reciprocal tariff เพิ่มขึ้น 34% เป็น 54%

[4] ข้อมูล ณ วันที่ 31 กรกฎาคม 2568

[5] สัมภาษณ์ ณ วันที่ 7 สิงหาคม 2568

[6] 59% ของบริษัททั้งหมดส่งออกสินค้าเพียงชนิดเดียว ส่วนบริษัทที่ส่งออก 2 ชนิดขึ้นไปมูลค่าการส่งออกมักกระจุกตัวอยู่ในสินค้าหลักเพียงชนิดเดียวเช่นกัน ทั้งนี้ 22% ของบริษัททั้งหมดมีมูลค่าการส่งออกของสินค้าชนิดใดชนิดหนึ่งสูงกว่า 95% ของมูลค่าการส่งออกทั้งหมดของบริษัทนั้นไปยังสหรัฐฯ

[7] สัดส่วนมูลค่าการส่งออกปี 2024

[8] พิจารณาจากมูลค่าการนำเข้าสินค้าจากจีนและมูลค่าการส่งออกสินค้าไปสหรัฐฯ ที่มีพิกัดศุลกากรเดียวกันในระดับ 6 หลัก ซึ่งงานศึกษาของ Iyoha et al. (2025) ระบุว่า เป็นระดับที่ robust ที่สุดในการวิเคราะห์ Rerouting

[9] กฎสัดส่วนมูลค่าวัตถุดิบ RVC ขั้นต่ำในการผลิตในปัจจุบัน มีความแตกต่างในแต่ละ FTA ที่ไทยตกลงกับประเทศคู่ค้า ซึ่งอยู่ระหว่าง 35 – 40%

[10] ในข้อตกลงการค้าระหว่างสหรัฐฯ แคนาดา และเม็กซิโก (USMCA) ได้ระบุวิธีการคำนวณ RVC ที่สามารถใช้ได้ทั้งหมด 2 วิธี ได้แก่

1) Transaction Value Method โดยมี RVC ขั้นต่ำที่ 50%

RVC = ((Transaction Value - Value of Non-originating Material) / Transaction Value) * 100%

โดย Transaction Value คือ ราคาของสินค้าอ้างอิงจากราคาศุลกากรโดยไม่รวมค่าใช้จ่ายในการขนส่งระหว่างประเทศและบรรจุภัณฑ์

2) Net Cost Method โดยมี RVC ขั้นต่ำที่ 60%

RVC = ((Net Cost - Value of Non-originating Material) / Net Cost) * 100%

โดย Net Cost คือต้นทุนทั้งหมดที่เกิดในประเทศคู่สัญญา ได้แก่ ต้นทุนการผลิต มูลค่าวัตถุดิบที่ใช้ในการผลิต ต้นทุนค่าแรงทางตรง ต้นทุนค่าดำเนินการทางตรง ต้นทุนตามงวดเวลา (period cost) และต้นทุนอื่น ๆ เช่น ดอกเบี้ย โดยไม่รวมกำไรของผู้ผลิต ค่าใช้จ่ายในการส่งเสริมการขาย การตลาด และบริการหลังการขาย ค่าสิทธิ (royalty fee) ค่าขนส่ง และค่าบรรจุภัณฑ์

เอกสารอ้างอิง
 

Alfaro, L., & Chor, D. (2023). Global supply chains: The looming “great reallocation” (No. w31661). National Bureau of Economic Research

 

DeBarros, A. and Y. Hayashi (2023, August 12). How U.S. and China Are Breaking Up, In Charts. The Wall Street Journal. https://www.wsj.com/economy/trade/how-u-s-and-china-are-breaking-up-in-charts-282bd878

 

Fox Business. (2025, August 7). 'TARIFF REVENUE': We’re heading toward $50 billion a month... no one’s retaliating [Video]. YouTube. https://www.youtube.com/watch?v=Rn2UiUGI-zE

 

Grossman, G. M., Helpman, E., & Redding, S. J. (2024). When tariffs disrupt global supply chains. American Economic Review, 114(4), 988–1029. https://doi.org/10.1257/aer.20211519

 

Hayakawa, K., & Sudsawasd, S. (2024). Trade Effects of the US–China Trade War on a Third Country: Preventing Trade Rerouting from China. The World Economy

 

https://www.bot.or.th/th/research-and-publications/research/economic-pulse/economic-pulse-202412.html

 

International Trade Administration. (2023, August 23). Antidumping and countervailing duty orders on crystalline silicon photovoltaic cells, whether or not assembled into modules, from the People's Republic of China: Final scope determination and final affirmative determinations of circumvention with respect to Cambodia, Malaysia, Thailand, and Vietnam. Federal Register, 88(162), 57419–57427. https://www.federalregister.gov/documents/2023/08/23/2023-18161/antidumping-and-countervailing-duty-orders-on-crystalline-silicon-photovoltaic-cells-whether-or-not

 

Iyoha, E., Malesky, E., Wen, J., & Wu, S.-J. (2025, March 27). Exports in disguise? Trade rerouting during the U.S.-China trade war (Harvard Business School Working Paper No. 24-072). Harvard Business School. https://www.hbs.edu/faculty/Pages/item.aspx?num=65663

 

Lutnick, H. [@howardlutnick]. (2025, July 2). X. https://x.com/howardlutnick/status/1940455257017909375

 

Medina, A. F. (2024, September 16). Malaysia’s semiconductor growth: Can it move up the value chain? ASEAN Briefing. https://www.aseanbriefing.com/news/malaysias-semiconductor-growth-can-it-move-up-the-value-chain/

 

Nikkei Asia. (2019, June 19). Apple weighs 15-30% capacity shift out of China amid trade war. https://asia.nikkei.com/economy/trade-war/apple-weighs-15-30-capacity-shift-out-of-china-amid-trade-war

 

Reuters. (2025, April 25). Apple moving to make most iPhones for US in India rather than China, source says. https://www.reuters.com/world/china/apple-aims-source-all-us-iphones-india-pivot-away-china-ft-reports-2025-04-25/

 

Simanjuntak, R. (2025, May 17). Indonesia to increase lithium imports from Australia for EV battery industry. Petromindo. https://www.petromindo.com/news/article/indonesia-to-increase-lithium-imports-from-australia-for-ev-battery-industry[1](https://www.petromindo.com/news/article/indonesia-to-increase-lithium-imports-from-australia-for-ev-battery-industry)

 

Sreya, R. (2024). Entering international market for small businesses: A secondary research approach to explore challenges and solutions. Journal of International Business and Management, 7(7), 01–09. https://rpajournals.com/wp-content/uploads/2024/07/JIBM-2021-05-6522.pdf[1](https://rpajournals.com/jibm-2021-05-6522/)

 

The White House. (2025, July 31). Further modifying the reciprocal tariff rates. https://www.whitehouse.gov/presidential-actions/2025/07/further-modifying-the-reciprocal-tariff-rates/

 

Zhang, L., & Xu, B. (2025, April 16). How China’s companies are responding to the US trade war. The Diplomat. https://thediplomat.com/2025/04/how-chinas-companies-are-responding-to-the-us-trade-war/[1](https://thediplomat.com/2025/04/how-chinas-companies-are-responding-to-the-us-trade-war/)

 

กรมการค้าต่างประเทศ (2023). บัญชีรายการสินค้าเฝ้าระวังการแอบอ้างถิ่นกำเนิดสินค้า ตามประกาศกรมฯ (ฉบับที่ 2) พ.ศ. 2566 (เริ่มมีผลบังคับใช้ตั้งแต่วันที่ 1 กุมภาพันธ์ 2566) [Press Release]. https://edi.dft.go.th/LinkClick.aspx?fileticket=ZI90m79ThSQ%3d&tabid=37

 

พรหมมินทร์ ก., ศรีเมือง ก., วงศ์เจริญยศ น., ผาติหัตถกร ร., และ ธนกิจโกฏินนทน์ อ. (2024, November). ผลกระทบจาก China Flooding ต่อภาคเศรษฐกิจของไทย (Impact of China Flooding on Thailand’s Economy). Economic Pulse: November 2024. https://www.bot.or.th/th/research-and-publications/research/economic-pulse/economic-pulse-202412.html

 

วงษ์สินธุวิเศษ พ., ฤกษ์ศุภสมพล พ., และ ธนกิจโกฏินนทน์ อ. (2024, April). การวิเคราะห์โครงสร้างการส่งออกไทยผ่าน CMSA พบว่า การส่งออกไทยได้รับแรงกดดันจากปัจจัยเชิงโครงสร้างและการแข่งขันส่งผลให้ไม่สามารถเติบโตได้เต็มศักยภาพ. Economic Pulse: April 2024. https://www.bot.or.th/th/research-and-publications/research/economic-pulse/economic-pulse-202404.html

 

หนูขวัญ น., จันทรสาขา จ., ผู้อุตส่าห์ อ., ภัทรรังรอง จ., วรศักดิ์ ว. (2025, September). ภาษีทรัมป์ 2.0 กับความท้าทายต่อภาคการส่งออกไทย. aBRIDGEd. https://www.pier.or.th/abridged/2025/11/

 

กรมศุลกากร (2018, July 6). พิธีการสำหรับสินค้าถ่ายลำ/ผ่านแดน. https://www.customs.go.th

 

กรมศุลกากร (2022, February 14). ความร่วมมือระหว่างประเทศด้านกฎว่าด้วยถิ่นกำเนิดสินค้าสำหรับเตรียมความพร้อมภายใต้กรอบความตกลง CPTPP. บทความวิชาการ. https://www.customs.go.th/cont_strc_download.php?current_id=142329324146505f4b464a4f464b47

 

กรมการค้าต่างประเทศ. (2024, May 13). ข้อมูลสิทธิประโยชน์ทางการค้าภายใต้ FTA และ GSP. กรมการค้าต่างประเทศ. https://www.dft.go.th/th-th/dft-service-data-privilege/cid/78/-Free-Trade-Area-FTA

 

กรุงเทพธุรกิจ. (2025, August 1). 'พิพัฒน์' ชี้ดีล19% 'ดี' แต่ยังไม่ปลอดภัย จับตา Transshipment ทุบส่งออกไทยโดนภาษี 40%. การเงิน-การลงทุน. https://www.bangkokbiznews.com/finance/investment/1192491

 

ประชาชาติธุรกิจ. (2025, August 14). ‘ส่งออก’ ไร้ทางออกเงื่อนไขสหรัฐ 7 กลุ่มอุตฯ RVC ต่ำ-ดิ้นหนีภาษี 40%. https://www.prachachat.net/economy/news-1863569

คณะผู้เขียนขอขอบคุณผู้บริหารและเพื่อนร่วมงานที่ธนาคารแห่งประเทศไทย สำหรับความคิดเห็นที่เป็นประโยชน์ต่องานศึกษาครั้งนี้โดยเฉพาะอย่างยิ่งคุณนฤมล พูลภักดี และคุณจิรายุ จันทรสาขา สำหรับการให้คำปรึกษา ตลอดจนทีม Editor คุณณัฐา ปิยะกาญจน์ สำหรับความคิดเห็นที่เป็นประโยชน์และช่วยให้งานศึกษาครั้งนี้มีความสมบูรณ์มากขึ้น

Authors:

Nuttika Thongtawat

ณัฐิกา ทองธวัช: NuttikaT@bot.or.th

 

เศรษฐกร ฝ่ายเศรษฐกิจมหภาค สายนโยบายการเงิน ธนาคารแห่งประเทศไทย ปัจจุบันอยู่ส่วนดุลการชำระเงิน ติดตามภาวะส่งออก – นำเข้าสินค้า นอกจากนี้ยังมีประสบการณ์การวิเคราะห์และติดตามด้านเศรษฐกิจและตลาดการเงินของประเทศคู่ค้าสำคัญ

Jidapa Luewirojn

จิดาภา ลู่วิโรจน์: JidapaL@bot.or.th

 

เศรษฐกร ฝ่ายเศรษฐกิจมหภาค สายนโยบายการเงิน ธนาคารแห่งประเทศไทย สำเร็จการศึกษาจากคณะเศรษฐศาสตร์ มหาวิทยาลัยธรรมศาสตร์ หลักสูตรนานาชาติ และ MSc Economics and Management จาก London School of Economics and Political Science  (LSE) ปัจจุบันอยู่ส่วนดุลการชำระเงิน ติดตามภาวะส่งออก – นำเข้าสินค้า

Disclaimer: ข้อคิดเห็นที่ปรากฏในบทความนี้เป็นความเห็นของผู้เขียน ซึ่งไม่จำเป็นต้องสอดคล้องกับความเห็นของธนาคารแห่งประเทศไทย (ธปท.) และการกล่าว คัด หรืออ้างอิงข้อมูลบางส่วนตามสมควรในบทความนี้ จะต้องกระทำโดยถูกต้องและอ้างอิงถึงผู้เขียนโดยชัดแจ้ง

 

Tags: Transshipment, Tariff, Trump, International economics, Trade, Export, Import

 

Economic Pulse เป็นบทความวิชาการขนาดสั้นโดยบุคลากรของธนาคารแห่งประเทศไทย ซึ่งนำเสนองานวิเคราะห์ด้านเศรษฐกิจการเงินหรือด้านนโยบาย เพื่อสื่อสารต่อสาธารณชน นักวิชาการ และนักวิเคราะห์